重工业增速持续快于轻工业



经济保持较快增长,工业仍居主导地位
一季度,国民生产总值43313亿元,同比增长10.2%,略快于去年同期9.9%的增长速度。从三次产业的情况来看,工业依然是经济增长的主导力量。一季度,第二产业增加值同比增长12.5%,对经济增长的贡献率为49.9%,拉动经济增长5.1个百分点。同期第一产业和第三产业同比增长4.6%和8.7%,对经济增长的贡献率分别为7.3%和42.7%,分别拉动经济增长0.8和4.4个百分点。与2005年相比,第三产业的贡献有所增强,但第二产业主导经济增长的格局没有改变。一季度,我国工业效益继续改善。全国规模以上工业企业实现利润3363亿元,同比增长21.3%,增幅较上年同期提高4.1个百分点,高于生产增幅4.6个百分点。一季度,工业经济效益综合指数达到171.32,比去年同期提高了8.63点。
重工业比重继续提高,区域工业结构趋同化严重
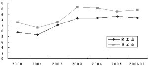
从工业内部结构来看,我国近几年来一直呈现重工业增长速度明显快于轻工业的特征。2005年,轻工业增长15.2%,重工业增长17%,重工业快于轻工业1.8个百分点。今年一季度,重工业增长17.6%,轻工业增长14.7%,重工业与轻工业的差距扩大为2.9个百分点,轻重工业的不均衡性加强。由于重工业增长的不断加快,重工业在工业增加值中的比重不断提高。一季度,规模以上工业完成增加值17822亿元,同比增长16.7%,较上年同期加快0.5个百分点。其中,重工业所占比重达69.5%,比2005年同期提高了1.2个百分点,比2005年全年提高了0.5个百分点。从工业经济总量来看,排在前5位的仍是重工业,他们依次为电子通信、冶金、交通运输设备、电力和化工制造业,占总量的比重为38.9%。
从地区工业结构来看,在工业发展过程中,各地区分别从自身利益出发,倾向于短期利润高、回收周期短的投资项目和工业领域,造成大量低水平的重复建设和生产,导致了严重的区域产业结构趋同化。以长三角城市群为例,电子、汽车、机械、化工、医药等产业被绝大多数城市选为主导产业。在长三角的15个城市中,选择汽车为主导产业的有11个城市,选择石化的有8个城市,选择通信产业的有12个城市。从工业行业完成产值情况看,2005年排在前10位的主要工业大类,上海与江苏的同构率达到80%,江苏与浙江的同构率也达到80%。主导产业结构趋同势必造成区际间对同类资源和同类市场的竞争,影响区域特色的形成和比较优势的发挥,不利于资源的有效配置。
|